3 Problem Sheet 3:
Properties of field extensions
Exercise 3.1 Find a basis of the splitting field \(L\) of \(f(x)\) over \(K\) in the following cases:
\(\;(a)\;\;f(x)=(x^2-2)(x^2-5)\) over \(K=\mathbb{Q},\hspace{2em}\) \(\;(b)\;\;f(x)=x^4+1\) over \(K=\mathbb{Q},\)
\(\;(c)\;\;f(x)=x^8-2\) over \(K=\mathbb{Q},\hspace{6.15em}\) \(\;(d)(\star)\;\;f(x)=x^4+x^2-1\) over \(K=\mathbb{Q},\)
\(\;(e)\;\;f(x)=x^6-2\) over \(K=\mathbb{Q}(\sqrt{-3}),\hspace{3.15em}\) \(\;(f)\;\;f(x)=x^8-2\) over \(K=\mathbb{Q}(i).\)
Solution
\((a)\;\) We need the roots \(\pm\sqrt{2},\pm\sqrt{5}\) in the splitting field \(L\) so \(L=\mathbb{Q}(\sqrt{2},\sqrt{5})\). Notice \(\sqrt{10}=\sqrt{2}\sqrt{5}\in L\) as well and a \(\mathbb{Q}\)-basis is \(\{1,\sqrt{2},\sqrt{5},\sqrt{10}\}\). Explicitly, the polynomial splits in \(L\) as \[(x^2-2)(x^2-5)=(x+\sqrt{2})(x-\sqrt{2})(x+\sqrt{5})(x-\sqrt{5})\] and \(L=\left\{a+b\sqrt{2}+c\sqrt{5}+d\sqrt{10} \;\mid\; a,b,c,d\in\mathbb{Q}\right\}\).
\((b)\;\) Let \(\zeta=e^{\pi i/4}\). Then \(\zeta^2=i\) and the four (distinct) roots are \(\zeta\), \(-\zeta=\zeta^5\), \(i\zeta=\zeta^3\) and \(-i\zeta=\zeta^7\) \[x^4+1=(x-\zeta)(x-\zeta^3)(x-\zeta^5)(x-\zeta^7).\] We have \(L=\mathbb{Q}(\zeta)\) and a \(\mathbb{Q}\)-basis is \(\{1,\zeta,i,i\zeta\}=\{1,\zeta,\zeta^2,\zeta^3\}\).
Alternatively, since \(\zeta=(1+i)/\sqrt{2}\), we can write \(L=\mathbb{Q}(i,\sqrt{2})\) and give another basis \(\{1,i,\sqrt{2},i\sqrt{2}\}\).
\((c)\;\) The splitting field contains the real root \(\theta=\sqrt[8]{2}\). The eight roots are then \(\zeta^j\theta\) for \(0\leq j\leq 7\) where \[\zeta=e^{\pi i/4}=(1+i)/\sqrt{2}=(1+i)/\theta^4.\] Thus \(L=\mathbb{Q}(\theta,\zeta)=\mathbb{Q}(\theta,i)\) and a \(\mathbb{Q}\)-basis is \(\{1,\theta,...,\theta^7,i,i\theta,...,i\theta^7\}\). There are other ways to write down a basis, but it must have \([L:\mathbb{Q}]=16\) linearly independent elements.
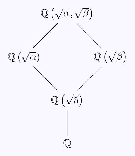
\((d)\;\) Notice that \(x^4+x^2-1=(x^2-\alpha)(x^2-\beta)\) where \(\begin{cases} \alpha=(-1+\sqrt{5})/2, \\ \beta=(-1-\sqrt{5})/2.\end{cases}\).
The splitting field contains \(\pm\sqrt{\alpha},\pm\sqrt{\beta}\) and so \(L=\mathbb{Q}(\sqrt{\alpha},\sqrt{\beta})\). However, it’s not immediately obvious what \([L:\mathbb{Q}]\) is, and we certainly need to know it since it is the dimension of a basis.
One way is to consider the degrees in the diagram

Notice \(\beta\in\mathbb{Q}(\beta)=\mathbb{Q}(\sqrt{5})\) but \(\beta\) is a negative real number. This means that \(\sqrt{\beta}\not\in\mathbb{Q}(\sqrt{5})\) and so \([\mathbb{Q}(\sqrt{\beta}):\mathbb{Q}(\sqrt{5}]=2\). By the Tower Law, \[ [\mathbb{Q}(\sqrt{\beta}):\mathbb{Q}]=[\mathbb{Q}(\sqrt{\beta}):\mathbb{Q}(\sqrt{5})] [\mathbb{Q}(\sqrt{5}):\mathbb{Q}]=4.\]
This implies \(x^4+x^2-1\in\mathbb{Q}[x]\) is irreducible (alternatively, this could be shown directly.)
Now \(\sqrt{\alpha},\sqrt{\beta}\) are roots of the same irreducible polynomial so \([\mathbb{Q}(\sqrt{\alpha}):\mathbb{Q}]=[\mathbb{Q}(\sqrt{\beta}):\mathbb{Q}]=4\).
Finally, \(\mathbb{Q}(\sqrt{\alpha})\) is real so adjoining \(\sqrt{\beta}\not\in\mathbb{Q}(\sqrt{\alpha})\) gives \([\mathbb{Q}(\sqrt{\alpha},\sqrt{\beta}):\mathbb{Q}(\sqrt{\alpha})]=2\).
Hence \([\mathbb{Q}(\sqrt{\alpha},\sqrt{\beta}):\mathbb{Q}]=8\) and a \(\mathbb{Q}\)-basis is \[\left\{1,\sqrt{5},\sqrt{\alpha},\sqrt{5\alpha},\sqrt{\beta},\sqrt{5\beta},\sqrt{\alpha\beta},\sqrt{5\alpha\beta}\right\}.\]
Using \(\alpha\beta=-1\), we actually have \(\sqrt{\beta}=i/\sqrt{\alpha}\) and we could re-write to get a basis \[\left\{1,i,\sqrt{5},i\sqrt{5},\sqrt{\alpha},i\sqrt{\alpha},\sqrt{5\alpha},i\sqrt{5\alpha}\right\}.\] Notice another way of writing the splitting field is \(L=\mathbb{Q}(i,\sqrt{5},\sqrt{\alpha})\).
\((e)\;\) The 6 roots are \(\zeta^j\sqrt[6]{2}\) for \(0\leq j\leq 5\) where \(\zeta=e^{\pi i/3}\) so the splitting field is \(L=K(\zeta,\sqrt[6]{2})\).
We have \(\zeta=(1+\sqrt{-3})/2\) which is in \(K=\mathbb{Q}(\sqrt{-3})\) so actually \(L=K(\sqrt[6]{2})\).
To check the degree of \(L/K\), notice \(\sqrt{-3}\) is not real so \(\sqrt{-3}\not\in\mathbb{Q}(\sqrt[6]{2})\). Hence \[[L:\mathbb{Q}]=[L:\mathbb{Q}(\sqrt[6]{2})] [\mathbb{Q}(\sqrt[6]{2}):\mathbb{Q}]=12\] and so \([L:K]=6\). A \(K\)-basis is \(\left\{1,\theta,\theta^2,\theta^3,\theta^4,\theta^5\right\}\) where \(\theta=\sqrt[6]{2}\).
\((f)\;\) In a similar way, the roots are \(\zeta^j\theta\) for \(0\leq j\leq 7\) where \(\theta=\sqrt[8]{2}\) and \[\zeta=e^{\pi i/4}=(1+i)/\sqrt{2}=(1+i)/\theta^4.\]
- We find \(L=\mathbb{Q}(i,\theta)=K(\theta)\), \([L:K]=8\) and a \(K\)-basis of \(L\) is \(\left\{1,\theta,...,\theta^7\right\}\).
Exercise 3.2 Let \(\theta\) be a root of the polynomial \(f(x)=x^3+x+1\in\mathbb{F}_2[x]\). Show that the extension \(\mathbb{F}_2(\theta)\) is a splitting field for \(f(x)\) over \(\mathbb{F}_2\).
Solution
Given that \(f(\theta)=\theta^3+\theta+1=0\), we have \[f(\theta^2)=\theta^6+\theta^2+1=(\theta^3+\theta+1)^2=f(\theta)^2=0\] and similarly, \(f(\theta^4)=f(\theta)^4=0\). Thus the three distinct roots \(\theta\), \(\theta^2\) and \(\theta^4=\theta+\theta^2\) are contained in \(\mathbb{F}_2(\theta)\) and this is the splitting field of \(f(x)\) over \(\mathbb{F}_2\).
Exercise 3.3 Let \(p\) be a prime number. What is the degree of the splitting field of \(x^p-1\) over \(\mathbb{Q}\)?
Solution
Let \(\zeta=e^{2\pi i/p}\). Then the roots of \(x^p-1\) are \(1,\zeta,...,\zeta^{p-1}\) and \(\mathbb{Q}(\zeta)\) is the splitting field of \(x^p-1\) over \(\mathbb{Q}\). Furthermore, \(\zeta\) is a root of \[g(x)=\frac{x^p-1}{x-1}=x^{p-1}+x^{p-2}+\cdots+x+1\] which is irreducible over \(\mathbb{Q}\) (by applying Eisenstein’s Criterion to \(g(x+1)\)). Hence the splitting field has degree \([\mathbb{Q}(\zeta):\mathbb{Q}]=\deg(g(x))=p-1\).
Exercise 3.4 Decide whether or not the following pairs of fields are isomorphic:
\(\;(a)\;\;\mathbb{Q}(\sqrt[4]{2})\) and \(\mathbb{Q}(i\sqrt[4]{2}),\hspace{5em}\) \(\;(b)\;\;\mathbb{Q}(\sqrt[3]{1+\sqrt{3}})\) and \(\mathbb{Q}(\sqrt[3]{1-\sqrt{3}}),\)
\(\;(c)\;\;\mathbb{Q}(\sqrt{2})\) and \(\mathbb{Q}(\sqrt{3}),\hspace{5.4em}\) \(\;(d)\;\;\mathbb{Q}(\pi)\) and \(\mathbb{Q}(e)\).
Solution
\((a)\) Yes, since \(\sqrt[4]{2}\) and \(i\sqrt[4]{2}\) are roots of the same irreducible polynomial \(x^4-2\in\mathbb{Q}[x]\).
Note, we are not saying that \(\mathbb{Q}(\sqrt[4]{2})\) and \(\mathbb{Q}(i\sqrt[4]{2})\) the same subfield of \(\mathbb{C}\), and indeed they aren’t - the first one only contains real numbers. However, recall the universal property of simple extensions - it tells us that the two given extensions are both isomorphic to \(\mathbb{Q}[x]/(x^4-2)\) as fields and this only depends on the minimal polynomial \(x^4-2\).
\((b)\) Again yes, since \(\sqrt[3]{1+\sqrt{3}}\) and \(\sqrt[3]{1-\sqrt{3}}\) have the same minimal polynomial, namely \[x^6-2x^3-2\in\mathbb{Q}[x]\] (which is irreducible by applying Eisenstein’s Criterion with \(p=2\)).
\((c)\) No. Suppose that \(\sigma:\mathbb{Q}(\sqrt{2})\to\mathbb{Q}(\sqrt{3})\) is an isomorphism. Then \(\sigma(\sqrt{2})=a+b\sqrt{3}\) for some \(a,b\in\mathbb{Q}\) and \[(a+b\sqrt{3})^2=\sigma(\sqrt{2})^2=\sigma(2)=2 \quad\implies\begin{cases} a^2+3b^2=2 \\ \;\;\;\;\;\;\;2ab=0 \end{cases}\] No such \(a,b\in\mathbb{Q}\) exist since \(a=0\) implies \(\sqrt{2/3}\in\mathbb{Q}\) and \(b=0\) implies \(\sqrt{2}\in\mathbb{Q}\). Hence there is no such isomorphism.
\((d)\) Yes. Both fields are isomorphic to the field of rational expressions \(\mathbb{Q}(t)\) as in Proposition 3.2. Composing these gives an isomorphism \[\begin{align*} \varphi\;:\; \mathbb{Q}(\pi) &\longrightarrow \,\mathbb{Q}(e) \\ \frac{f(\pi)}{g(\pi)} &\longmapsto \frac{f(e)}{g(e)} \qquad\text{for $f(t),g(t)\in K[t]$ with $g(t)\neq 0$} \end{align*}\]
Again, we are not saying they are the same subfield of \(\mathbb{R}\). In fact, if you can answer that question, let me know as it is an open problem. It’s not even known if \(\pi+e\) is rational or not.
Exercise 3.5 Describe the splitting field of \(x^3-11\) over \(\mathbb{Q}\). Show that if \(\alpha\) is any root of this polynomial then \(\mathbb{Q}(\alpha)/\mathbb{Q}\) is not normal.
Solution
Let \(\omega=e^{2\pi i/3}=(-1+\sqrt{-3})/2\), then the three roots are \(\alpha\), \(\omega\alpha\) and \(\omega^2\alpha\) and \[x^3-11=(x-\alpha)(x-\omega\alpha)(x-\omega^2\alpha).\] The splitting field is \[L=\mathbb{Q}(\alpha,\omega\alpha,\omega^2\alpha)=\mathbb{Q}(\alpha,\omega)=\mathbb{Q}\left(\alpha,\sqrt{-3}\,\right).\] To fully describe this extension we should also show it has degree \([L:\mathbb{Q}]=6\), which we can do by applying the Tower Law to the diagram

\(\mathbb{Q}(\alpha)\subset L\) so \([\mathbb{Q}(\alpha):\mathbb{Q}]=3\) divides \([L:\mathbb{Q}]\) and \(\mathbb{Q}(\omega)\subset L\) so \([\mathbb{Q}(\omega):\mathbb{Q}]=2\) divides \([L:\mathbb{Q}]\). Hence we have \([L:\mathbb{Q}]\geq 6\).
However, \([\mathbb{Q}(\omega)(\alpha):\mathbb{Q}(\omega)]\leq 3\) so \([L:\mathbb{Q}]=[\mathbb{Q}(\omega)(\alpha):\mathbb{Q}(\omega)] [\mathbb{Q}(\omega):\mathbb{Q}]\leq 3\cdot 2=6\).
Note we didn’t know that \(x^3-11\) was irreducible in \(\mathbb{Q}(\omega)[x]\). However, now we know it is since the above implies \([\mathbb{Q}(\omega)(\alpha):\mathbb{Q}(\omega)]=3\)
To show that \(\mathbb{Q}(\alpha)/\mathbb{Q}\) is not normal:
If it was, then all three roots \(\alpha\), \(\omega\alpha\), \(\omega^2\alpha\) are in \(\mathbb{Q}(\alpha)\).
Then \((\omega\alpha)/\alpha=\omega\in\mathbb{Q}(\alpha)\) so \(\mathbb{Q}\subset\mathbb{Q}(\omega)\subset\mathbb{Q}(\alpha)\).
But that would imply \([\mathbb{Q}(\omega):\mathbb{Q}]=2\) divides \([\mathbb{Q}(\alpha):\mathbb{Q}]=3\), so we have a contradiction.
Exercise 3.6 Suppose that \(K\subset M\subset L\) is a tower of finite extensions. For each of the following, either prove the statement or provide a counterexample.
\(\;(a)\;\) If \(L/M\) and \(M/K\) are both normal, then \(L/K\) is normal.
\(\;(b)\;\) If \(L/K\) is normal, then \(M/K\) is normal.
\(\;(c)\;\) If \(L/K\) is normal, then \(L/M\) is normal.
Solution
\((a)\) This is false. Consider the tower \[ K=\mathbb{Q} \;\;\;\subset\;\;\; M=\mathbb{Q}(\sqrt{2}) \;\;\;\subset\;\;\; L=\mathbb{Q}(\sqrt[4]{2}).\] Then \(L/M\) and \(M/K\) are quadratic extensions so automatically normal. However, the polynomial \(x^4-2\in\mathbb{Q}[x]\) is irreducible over \(\mathbb{Q}\) (for instance, by Eisenstein’s criterion with \(p=2\)). This polynomial has two roots \(\pm\sqrt[4]{2}\) in \(L\) but the other two roots \(\pm i\sqrt[4]{2}\) are not in \(L\). This means \(L/K\) is not normal.
\((b)\) This is also false. Consider the tower \[ K=\mathbb{Q} \;\;\;\subset\;\;\; M=\mathbb{Q}(\sqrt[3]{2}) \;\;\;\subset\;\;\; L=\mathbb{Q}(\sqrt[3]{2},\omega)\] where \(\omega=e^{2\pi i/3}\). Then \(L/K\) is normal as it is the splitting field of \(f(x)=x^3-2\) over \(\mathbb{Q}\). Now \(f(x)\) is irreducible over \(\mathbb{Q}\) (by Eisenstein again or because it is a cubic with no roots in \(\mathbb{Q}\)). But \(f(x)\) has one root \(\sqrt[3]{2}\in M\) but the other two roots are not real so not in \(M\), and hence \(M/K\) is not normal.
\((c)\) This is true. If \(L/K\) is normal, then it is the splitting field of some polynomial \(f(x)\in K[x]\) over \(K\) and there are \(\theta_1,...,\theta_n\in L\) with
- \(f(x)=c(x-\theta_1)\cdots(x-\theta_n)\),
- \(L=K(\theta_1,...,\theta_n)\).
Clearly, \(f(x)\in M[x]\), \(f(x)\) splits completely in \(L[x]\) and \(L=M(\theta_1,...,\theta_n)\). Hence \(L\) is the splitting field of \(f(x)\) over \(M\) and \(L/M\) is normal.
Alternatively: suppose \(\alpha\in L\) has minimal polynomial \(m_K(x)\) over \(K\) and minimal polynomial \(m_M(x)\) over \(M\). Recall that \(m_M(x)\) generates the ideal of all polynomials in \(M[x]\) which vanish at \(\alpha\). Since \(m_K(x)\in K[x]\subset M[x]\) and \(m_K(\alpha)=0\), this means that \(m_M(x)\) divides \(m_K(x)\) in \(M[x]\). Now \(L/K\) being normal implies that \(m_K(x)\) splits into linear factors in \(L[x]\). Hence \(m_M(x)\) does as well and so \(L/M\) is normal.
Exercise 3.7 Are the following true or false? Justify your answers.
\(\;(a)\;\) A degree \(2\) extension \(L/K\) is normal.
\(\;(b)\;\) A degree \(2\) extension \(L/K\) is separable.
Solution
\((a)\) Yes. This was shown in lectures as follows: suppose \(\theta\in L\) has minimal polynomial \(m(x)\in K[x]\). Then \(K\subset K(\theta)\subset L\) and so \(\deg(m(x))=[K(\theta):K]=1\) or \(2\).
If \(\deg(m(x))=1\), then there is nothing to prove, as \(m(x)\) is already linear.
If \(\deg(m(x))=2\), then \(m(x)=(x-\theta)m_1(x)\) where \(m_1(x)\in L[x]\) is linear. Thus \(m(x)\) splits completely in \(L[x]\).
\((b)\) No. Consider the field of rational expressions \(K=\mathbb{F}_2(t)\) and the quadratic extension \(L=K(\theta)\) where \(\theta^2=t\). Then \(L/K\) is not separable as the element \(\theta\in L\) isn’t separable - its minimal polynomial \[x^2-t=x^2-\theta^2=(x-\theta)^2\] has a repeated root.
Exercise 3.8 Suppose \(K\subset M\subset L\) be a tower of finite extensions.
\((a)\) Show that if \(L/K\) is separable, then both \(L/M\) and \(M/K\) are separable.
\((b)(\star)\) Show that if \(L/M\) and \(M/K\) are separable, then \(L/K\) is separable.
(For \((b)\), you may use the following characterisation of separable extensions in characteristic \(p\): A finite extension \(L/K\) is separable if and only if \(L=KL^p\), i.e. any \(\alpha\in L\) can be written as \(\alpha=c\beta^p\) where \(c\in K\) and \(\beta\in L\).)
Solution
\((a)\) To show \(L/K\) separable \(\Rightarrow L/M\) separable:
Given \(\alpha\in L\), the minimal polynomial \(m_K(x)\in K[x]\) of \(\alpha\) over \(K\) has no repeated roots.
Let \(m_M(x)\in M[x]\) be the minimal polynomial of \(\alpha\) over \(M\). Then \(m_K(x)\in M[x]\) and \(m_K(\alpha)=0\) so \(m_M(x)\) divides \(m_K(x)\) in \(M[x]\).
Hence \(m_M(x)\) has no repeated roots and \(L/M\) is separable.
To show \(L/K\) separable \(\Rightarrow M/K\) separable is almost trivial:
- Any \(\beta\in M\) is also in \(L\), hence its minimal polynomial over \(K\) has no repeated roots.
\((b)\) If \(\ch(K)=0\) then we already know any finite extension of \(K\) is separable. Hence we can restrict to the characteristic \(p\) case and use the stated characterisation.
If \(L/M\) and \(M/K\) are separable, then \(L=ML^p\) and \(M=KM^p\)
Thus \(L=ML^p=KM^pL^p\subset KL^p\subset L.\)
We must have equality throughout and so \(L=KL^p\) which implies \(L/K\) is separable.
There are multiple ways to answer \((b)\), however, they are all quite hard or require things we haven’t covered. The stated characterisation can be proved in a similar way to Theorem 4.8 in the notes, but is a little more involved. See Brzezinski’s book (Exercise 8.3) for more details.
Exercise 3.9 Which of the following field extensions \(L/K\) are normal? Justify your answers.
\(\;(a)\;\) \(L=\mathbb{Q}(\sqrt[4]{2})\) over \(K=\mathbb{Q},\hspace{5em}\) \(\;(b)\;\) \(L=K(\sqrt[6]{2})\) over \(K=\mathbb{Q}(\sqrt{-3}),\)
\(\;(c)\;\) \(L=K(\sqrt[4]{2},\sqrt[4]{3})\) over \(K=\mathbb{Q}(i),\hspace{2.05em}\) \(\;(d)\;\) \(L=\mathbb{C}\) over \(K=\mathbb{R},\)
\(\;(e)\;\) \(L=\mathbb{Q}(\sqrt[8]{2},i)\) over \(K=\mathbb{Q},\hspace{4.05em}\) \(\;(f)\;\) \(L=\mathbb{Q}(\sqrt[14]{2})\) over \(K=\mathbb{Q}(\sqrt[7]{2}),\)
\(\;(g)\;\) \(L=\mathbb{Q}(\sqrt[4]{2},i)\) over \(K=\mathbb{Q},\hspace{4.05em}\) \(\;(h)\;\) \(L=\mathbb{Q}(x)\) over \(K=\mathbb{Q}(x^3),\)
\(\;(i)\;\) \(L=\mathbb{C}(x)\) over \(K=\mathbb{C}(x^5),\hspace{4.15em}\) \(\;(j)\;\) \(L=\mathbb{F}_5(x)\) over \(K=\mathbb{F}_5(x^4).\)
Solution
Typical method: show that \(L\) is the splitting field of some polynomial \(f(x)\) over \(K\) or show that the minimal polynomial of some element in \(L\) doesn’t split completely in \(L[x]\).
\((a)\) This extension is not normal. The element \(\sqrt[4]{2}\in L\) has minimal polynomial \(f(x)=x^4-2\) over \(\mathbb{Q}\) which is irreducible over \(\mathbb{Q}\) by e.g. the Rational Root test. But \(L\subset\mathbb{R}\) so \(L\) doesn’t contain the non-real roots of \(f(x)\), e.g. \(i\sqrt[4]{2}\).
\((b)\) This extension is normal as \(L=K\left(\sqrt[6]{2}\right)\) is the splitting field of \(f(x)=x^6-2\) over \(K=\mathbb{Q}\left(\sqrt{-3}\right)\). Indeed, the roots of \(f(x)\) are \(\zeta^{j}\sqrt[6]{2}\in L\) for \(0\leq j\leq 5\) where \(\zeta=e^{\pi i/3}=(1+\sqrt{-3})/2\). Hence \[L=\mathbb{Q}\left(\sqrt[6]{2},\zeta\sqrt[6]{2},...,\zeta^5\sqrt[6]{2}\right)=\mathbb{Q}(\zeta,\sqrt[6]{2})=\mathbb{Q}(\sqrt{-3},\sqrt[6]{2})=K(\sqrt[6]{2})\] is the splitting field of \(f(x)\) over \(K\).
\((c)\) This extension is normal as \(L=K\left(\sqrt[4]{2},\sqrt[4]{3}\right)\) is the splitting field of \(f(x)=(x^4-2)(x^4-3)\) over \(K=\mathbb{Q}(i)\). The roots of \(f(x)\) are \(\pm\sqrt[4]{2},\,\pm i\sqrt[4]{2},\, \pm\sqrt[4]{3},\, \pm i\sqrt[4]{3}\in L\) and \[L=\mathbb{Q}\left(i,\sqrt[4]{2},\sqrt[4]{3}\right)=K\left(\sqrt[4]{2},\sqrt[4]{3}\right).\]
\((d)\) The extension \(\mathbb{C}/\mathbb{R}\) is normal as it has degree \(2\). (Alternatively, notice \(\mathbb{C}=\mathbb{R}(i)\) is the splitting field of \(x^2+1\) over \(\mathbb{R}\).)
\((e)\) This extension is normal as \(L=K\left(\sqrt[8]{2},i\right)\) is the splitting field of \(f(x)=x^8-2\) over \(K=\mathbb{Q}\). The roots of \(f(x)\) are \(\zeta^{j}\sqrt[8]{2}\in L\) for \(0\leq j\leq 7\) where \[\zeta=e^{\pi i/4}=(1+i)/\sqrt{2}\in\mathbb{Q}(i,\sqrt{2})\subset L\]
\((f)\) This extension is normal as it has degree \(2\) - the element \(\sqrt[14]{2}\) is a root of \(x^2-\sqrt[7]{2}\in K[x]\).
\((g)\) This extension is normal as \(L=\mathbb{Q}(i,\sqrt[4]{2})\) is the splitting field of \(f(x)=x^4-2\) over \(K=\mathbb{Q}\). The roots of \(f(x)\) are \(\pm\sqrt[4]{2},\pm i\sqrt[4]{2}\in L\) and these roots clearly generate \(L\).
\((h)\) This extension is not normal. Let \(t=x^3\) so that \(K=\mathbb{Q}(t)\) and \(L=K(x)\). The minimal polynomial of \(x\) over \(K\) is \[f(X)=X^3-t\in K[X]=\mathbb{Q}(t)[X].\] This is irreducible over \(K\), e.g. by the generalised Eisenstein’s criterion with \(p=t\). Also, the roots of \(f(X)\) are \(x\), \(\omega x\), \(\omega^2x\) where \(\omega=e^{2\pi i/3}\). If \(L/K\) was normal, then these would all be in \(L\) and so \(\omega=(\omega x)/x\in L=\mathbb{Q}(x)\). Now recall Example \(3.2(d)\) from the lecture notes: any element of \(\mathbb{Q}(x)\) which is algebraic over \(\mathbb{Q}\) must be in \(\mathbb{Q}\). But \(\omega^3-1=0\) so \(\omega\) is algebraic over \(\mathbb{Q}\). We thus must have \(\omega\in\mathbb{Q}\) which is false (\(\omega\) isn’t real, never mind rational…)
\((i)\) This extension is normal. Let \(t=x^5\) so that \(K=\mathbb{C}(t)\), \(L=K(x)\) and \(x\) is a root of \(f(X)=X^5-t\in K[X]=\mathbb{C}(t)[X].\) This polynomial splits completely in \(L[X]\): \[f(X)=X^5-t=(X-x)\left(X-\zeta x\right)\left(X-\zeta^2x\right)\left(X-\zeta^3x\right)\left(X-\zeta^4x\right)\] where \(\zeta=e^{2\pi i/5}\in\mathbb{C}\). Thus \(L=K(\zeta,x)=K(x)\) is the splitting field of \(f(x)\) over \(K\).
\((j)\) This extension is normal. Let \(t=x^4\) so that \(K=\mathbb{F}_5(t)\) and \(L=K(x)\). The minimal polynomial of \(x\) over \(K\) is \(f(X)=X^4-t\in K[X]=\mathbb{F}_5(t)[X]\) (it is irreducible over \(K\) by the generalised Eisenstein criterion with \(p=t\), though we don’t need this fact). This polynomial splits completely in \(L[X]\): \[\begin{align*} f(X)=X^4-t=X^4-x^4&=(X^2-x^2)(X^2+x^2) \\ &=(X-x)(X+x)(X-2x)(X+2x) \end{align*}\] (Notice that \(\pm1, \pm2\) are the four distinct \(4\,\)th roots of \(1\) in \(\mathbb{F}_5\).) Thus \(L=K(x)\) is the splitting field of \(f(x)\) over \(K\).
Exercise 3.10 Find a normal closure \(N\) for the following extensions \(L/K\).
\(\;(a)\;\) \(L=\mathbb{Q}(\sqrt[4]{2})\) over \(K=\mathbb{Q},\hspace{4em}\) \(\;(b)\;\) \(L=\mathbb{Q}(\sqrt[6]{2},\sqrt{-3})\) over \(K=\mathbb{Q}(\sqrt{-3}),\)
\(\;(c)\;\) \(L=\mathbb{Q}(e^{2\pi i/5})\) over \(K=\mathbb{Q},\hspace{3.1em}\) \(\;(d)\;\) \(L=\mathbb{Q}(x)\) over \(K=\mathbb{Q}(x^3),\)
\(\;(e)\;\) \(L=\mathbb{Q}(x)\) over \(K=\mathbb{Q}(x^4),\hspace{2.95em}\) \(\;(f)\;\) \(L=\mathbb{F}_3(x)\) over \(K=\mathbb{F}_3(x^4),\)
\(\;(g)\;\) \(L=\mathbb{F}_2(x)\) over \(K=\mathbb{F}_2(x^4).\)
Solution
\((a)\) The normal closure is \(N=\mathbb{Q}(\sqrt[4]{2},i)\). Indeed, the minimal polynomial of \(\sqrt[4]{2}\) over \(\mathbb{Q}\) is \(x^4-2\) and this has roots \(\pm\sqrt[4]{2}, \pm i\sqrt[4]{2}\). In particular, \(L/K\) is not normal but we just need to adjoin \(i\) to \(L\) to get a normal extension \(N/K\).
\((b)\) We have \(L=K(\sqrt[6]{2})\) and \(\zeta=e^{\pi i/3}=(1+\sqrt{-3})/2\in K\). The six roots of \(x^6-2\) are all in \(L\) since they are just \(\zeta^j\sqrt[6]{2}\) for \(0\leq j\leq 5\). In particular, \(L\) is the splitting field of this polynomial over \(K\), so \(L/K\) is already normal and \(N=L\).
\((c)\) Again, the normal closure is just \(N=L\) since \(L\) is already normal over \(\mathbb{Q}\). It is the splitting field of \(x^5-1\) over \(\mathbb{Q}\), which has roots \(1,\zeta,\zeta^2,\zeta^3,\zeta^4\) where \(\zeta=e^{2\pi i/5}\in L\).
\((d)\) Since \(x\in L\) is a root of \(X^3-x^3\in K[X]\), we need the cube roots of unity to get all the roots \[X^3-x^3=(X-x)(X-\omega x)(X-\omega^2 x) \quad\text{where $\omega=e^{2\pi i/3}$}.\] This means \(N=\mathbb{Q}(\omega,x)\), which is the splitting field of this polynomial over \(K=\mathbb{Q}(x^3)\).
\((e)\) Similarly, we now need the fourth roots of unity to get all the roots \[X^4-x^4=(X-x)(X+x)(X-ix)(X+ix)\] and \(N=\mathbb{Q}(i,x)\) is the splitting field of this polynomial over \(K=\mathbb{Q}(x^4)\).
\((f)\) Likewise, we need fourth roots of unity, but this time we can’t directly use \(i\in\mathbb{C}\). Instead, let \(\alpha\) be a root of \(X^2+1\in\mathbb{F}_3[X]\). Then there are four 4-th roots of unity \(\pm 1,\pm\alpha\) contained in \(\mathbb{F}_3(\alpha)=\mathbb{F}_9\). In particular, \(N=\mathbb{F}_3(\alpha,x)=\mathbb{F}_9(x)\).
\((g)\) Finally, \(N=L\) since \(L/K\) is already normal - it is the splitting field of \(X^4-x^4\in K[X]\) because \(X^4-x^4=(X-x)^4\), i.e. \(x\) is the only root of of this polynomial. Note the extension is not separable as the root has multiplicity \(4\).
Exercise 3.11 Suppose that \(\alpha, \beta\) are algebraic over a field \(K\) and furthermore, \(K(\alpha)/K\) is normal and \(K(\alpha)\cap K(\beta)=K\). Show that \[[K(\alpha,\beta):K]=[K(\alpha):K)] [K(\beta):K].\]
Solution
In Section 3.5 of the notes, we showed that for \(\alpha,\beta\) algebraic over \(K\), we have an inequality \[ [K(\alpha,\beta):K]\leq [K(\alpha):K] [K(\beta):K].\] We have to show that the extra conditions \(K(\alpha)/K\) normal and \(K(\alpha)\cap K(\beta)=K\) imply this is actually an equality. In particular, a proof must use both of these conditions.
If \(\alpha\in K\), then there is nothing to prove, so suppose \(\alpha\not\in K\) and let \(f(x)\in K[x]\) be its minimal polynomial over \(K\). We will show the given conditions imply \(f(x)\) is irreducible over \(K(\beta)\) and so \(f(x)\) is actually the minimal polynomial of \(\alpha\) over \(K(\beta)\):
As \(K(\alpha)/K\) is normal, \(f(x)\) splits completely \[f(x)=(x-\alpha_1)(x-\alpha_2)\cdots(x-\alpha_n)\in K(\alpha)[x]\] and so any factor of \(f(x)\) has coefficients in \(K(\alpha)\).
Any factor of \(f(x)\) in \(K(\beta)[x]\) also has coefficients in \(K(\beta)\), and hence in \(K(\alpha)\cap K(\beta)=K\).
In particular, any factor of \(f(x)\) in \(K(\beta)[x]\) is actually in \(K[x]\). But \(f(x)\) is irreducible over \(K\) so it must also be irreducible when considered as a polynomial in \(K(\beta)[x]\).
Hence \([K(\alpha,\beta):K(\beta)]=\deg f(x)=[K(\alpha):K]\) and by the Tower Law, \[\begin{align*} [K(\alpha,\beta):K]&=[K(\alpha,\beta):K(\beta)] [K(\beta):K] \\ &=[K(\alpha):K] [K(\beta):K]. \end{align*}\]
Without the extra two conditions, we can only show that the minimal polynomial of \(\alpha\) over \(K(\beta)\) divides the minimal polynomial of \(\alpha\) over \(K\) and so \([K(\alpha,\beta):K(\beta)]\leq[K(\alpha):K]\).
Exercise 3.12 Suppose that \(K\) is a field of characteristic \(p>0\) and \(a\in K\). Given a root \(\theta\) of the polynomial \(f(x)=x^p-x+a\in K[x]\), show that \(K(\theta)/K\) is normal and separable.
Solution
Let \(\theta\) be a root of \(f(x)=x^p-x+a\in K[x]\). Since \(K\) has characteristic \(p\), it contains the prime subfield \(\mathbb{F}_p\). Then for any \(b\in\mathbb{F}_p\) we have \(b^p=b\) and \[f(\theta+b)=(\theta+b)^p-(\theta+b)+a=\theta^p+b^p-\theta-b+a=0.\] In other words, the \(p\) roots of \(f(x)\) are \(\theta, \theta+1, \theta+2,...,\theta+p-1\). These are all contained in \(K(\theta)\) so \(K(\theta)\) is the splitting field of \(f(x)\) over \(K\) and \(K(\theta)/K\) is normal. Furthermore, the \(p\) roots of \(f(x)\) are distinct. The minimal polynomial of \(\theta\) divides \(f(x)\) so it also has distinct roots and the extension is separable by Theorem 4.8 in the notes.
Later, we’ll use Galois Theory to see either \(\theta\in K\) or the minimal polynomial of \(\theta\) is actually \(f(x)\), i.e. \(f(x)\) is irreducible over \(K\).
Exercise 3.13 Let \(L=\mathbb{F}_p(s,t)\) be the field of rational expressions in two indeterminates \(s, t\) with coefficients in \(\mathbb{F}_p\) where \(p\) is prime. Consider the subfield \(K=\mathbb{F}_p(s^p,t^p)\) of \(L\).
\(\;(a)\;\) Show that \([L:K]=p^2\).
\(\;(b)\;\) Show that if \(\gamma\in L\), then \(\gamma^p\in K\). Deduce that \(L/K\) is not simple.
Solution
\((a)\) Consider the tower \(\;\;\;K=\mathbb{F}_p(s^p,t^p)\;\;\subset\;\;M=\mathbb{F}_p(s^p,t)\;\;\subset\;\; L=\mathbb{F}_p(s,t)\).
The polynomial \(f(x)=x^p-t^p\in K[x]\) vanishes at \(t\) so the minimal polynomial of \(t\) over \(K\) must divide \(f(x)\). Now \(f(x)=(x-t)^p\) so this minimal polynomial must be \((x-t)^i\) for some \(1\leq i\leq p\).
If \(i<p\) then \((x-t)^i=x^i+...+(-1)^it^i\) is not in \(K[x]\) as \(t^i\not\in K=\mathbb{F}_p(s^p,t^p)\).
Thus \(i=p\), the minimal polynomial of \(t\) over \(K\) is \(f(x)\) and \([M:K]=\deg(f(x))=p\).
Similarly, one shows that \([L:M]=p\) and hence \([L:K]=[L:M] [M:K]=p^2\).
\((b)\) If \(\gamma\in L\), then \(\gamma^p\in L^p\subset K\). In particular, \([K(\gamma):K]\leq p\) and so \(K(\gamma)\neq L\).